Beranda
/ Contoh Soal Bentuk Akar Kelas 10 - Soal Dan Jawaban Limit Bentuk Akar Kumpulan Contoh Surat Dan Soal Terlengkap / Rangkuman, contoh soal & pembahasan vektor
Contoh Soal Bentuk Akar Kelas 10 - Soal Dan Jawaban Limit Bentuk Akar Kumpulan Contoh Surat Dan Soal Terlengkap / Rangkuman, contoh soal & pembahasan vektor
Contoh Soal Bentuk Akar Kelas 10 - Soal Dan Jawaban Limit Bentuk Akar Kumpulan Contoh Surat Dan Soal Terlengkap / Rangkuman, contoh soal & pembahasan vektor. Soal dan jawaban bentuk akar kelas 10. Modul matematika sma kelas 10 bentuk pangkat akar dan logaritma. Pengakaran erat kaitannya dengan eksponensial. Contoh soal & pembahasan elektrolisis & hukum faraday 19/09/2015; Contoh soal bilangan berpangkat dan bentuk akar kelas 9 ruang pola barisan dan deret bab ii pola bilangan dapat diartikan sebagai susunan bilangan yang memiliki keteraturan.
Contoh soal pembahasan bentuk pangkat. 20200907 contoh soal materi akar dan pangkat dua. Contoh soal bentuk pangkat kelas 10 beserta. Contoh soal & pembahasan elektrolisis & hukum faraday 19/09/2015; Bentuk pangkat dan akar 10 sma.
Soal Dan Pembahasan Matematika Bentuk Pangkat Dan Akar 1 5 Istana Mengajar from istanamengajar.files.wordpress.com Biar lebih memahami lagi materi terkait eksponen. Pengakaran erat kaitannya dengan eksponensial. Bentuk akar merupakan salah satu contoh bilangan irasional yaitu bilangan yang tidak dapat dinyatakan ke dalam bentuk dengan ketentuan a dan b bilangan. Contoh soal bilangan berpangkat kelas 10 smk berikut ini adalah contoh soal bilangan berpangkat kelas 10 smk yang bisa anda download secara gratis di website kami. Bentuk pangkat dan soal pembahasannya. Contoh soal dan pembahasan tentang bentuk akar contoh soal dan pembahasan tentang merasionalkan bentuk akar contoh soal dan pembahasan tentang penjumlahan bentuk akar. Diharapkan dengan soal matematika kelas 10 materi eksponen dan pembahasannya kurikulum 2013 ini dapat dijadikan referensi yang sesuai dengan harapan anda dalam membuat soal. Soal 3 jika dan maka nilai.
Contoh soal bentuk akar dan pembahasannya.
Contoh soal bentuk pangkat kelas 10 beserta. Soal eksponen kelas 10 dan pembahasannya. Guru sd smp sma contoh soal bentuk akar dan pembahasannya kelas 10 smk. Materi selanjutnya yang akan dibahas yaitu pengakaran. Contoh soal bilangan berpangkat dan bentuk akar kelas 9 ruang pola barisan dan deret bab ii pola bilangan dapat diartikan sebagai susunan bilangan yang memiliki keteraturan. Bentuk akar termasuk dalam bilangan irasional yakni bilangan yang tidak dapat dinyatakan dengan pecahan ab a dan b bilangan bulat a dan b 0. Halo adik adik berikut ini kakak admin bagikan contoh soal pangkat dan akar soal matematika kelas 9 smp lengkap dengan kunci jawaban dan pembahasan. Bentuk pangkat dan akar 10 sma. Soal dan pembahasan eksponen bentuk akar p ada kesempatan kali ini id ku akan memposting artikel tentang soal dan pembahasan eksponen bentuk akar kelas 10 sma. Contoh soal dan pembahasan tentang bentuk akar contoh soal dan pembahasan tentang merasionalkan bentuk akar contoh soal dan pembahasan tentang penjumlahan bentuk akar. Biar lebih memahami lagi materi terkait eksponen. Asep yana komarudinmpd sman 1 kota sukabumi. 3 2 x 2 3.
Contoh soal bentuk akar dan pembahasannya. Contoh soal eksponen kelas 10 dan logaritma berikut pembahasan dan jawaban. Contoh soal bentuk akar kelas 10 beserta jawabannya. Bentuk akar termasuk dalam bilangan irasional yakni bilangan yang tidak dapat dinyatakan dengan pecahan ab a dan b bilangan bulat a dan b 0. Bentuk akar merupakan salah satu contoh bilangan irasional yaitu bilangan yang tidak dapat dinyatakan ke dalam bentuk dengan ketentuan a dan b bilangan.
Cara Merasionalkan Bentuk Akar Youtube from i.ytimg.com Nyatakan bilangan berpangkat berikut dalam bentuk akar …. Pada kesempatan kali ini saya akan berbagi 30 contoh soal bilangan berpangkat dan bentuk akar. Materi selanjutnya yang akan dibahas yaitu pengakaran. Contoh soal bentuk akar dan pembahasannya. A) √2 + 3√2 + 5√2. Soal dan pembahasan matematika logaritma 1 6 kumpulan soal dan pembahasan logaritma persamaan logaritma persamaan bentuk pangkat persamaan eksponen. Asep yana komarudinmpd sman 1 kota sukabumi. Contoh soal bentuk pangkat kelas 10 beserta.
Nyatakan bilangan berpangkat berikut dalam bentuk akar ….
Contoh soal bilangan berpangkat kls 10 berikut ini adalah contoh soal bilangan berpangkat kls 10 yang bisa anda download secara gratis di website kami. Pengakaran erat kaitannya dengan eksponensial. Guru sd smp sma contoh soal bentuk akar dan pembahasannya kelas 10 smk. Soal dan pembahasan eksponen bentuk akar p ada kesempatan kali ini id ku akan memposting artikel tentang soal dan pembahasan eksponen bentuk akar kelas 10 sma. Nyatakan bilangan berpangkat berikut dalam bentuk akar …. Asep yana komarudinmpd sman 1 kota sukabumi. Batas ketik kali ini akan share soal eksponen kelas 10 dan pembahasannya. Contoh soal bilangan berpangkat dan bentuk akar kelas 10.bagaimana contoh soal dan pembahasan soal un untuk materi bilangan berpangkat. Contoh soal bentuk akar ruang belajar siswa kelas 6 materi matematika sma kelas x eksponen dan bentuk akar 20200907 contoh soal materi akar dan pangkat dua. Rangkuman, contoh soal & pembahasan vektor Contoh soal pangkat dan akar. Modul matematika sma kelas 10 bentuk pangkat akar dan logaritma.
Biar lebih memahami lagi materi terkait eksponen. Asep yana komarudinmpd sman 1 kota sukabumi. Contoh soal bilangan berpangkat kls 10 berikut ini adalah contoh soal bilangan berpangkat kls 10 yang bisa anda download secara gratis di website kami. Materi selanjutnya yang akan dibahas yaitu pengakaran. Guru sd smp sma contoh soal bentuk akar dan pembahasannya kelas 10 smk.
Contoh Soal Bentuk Akar Eksponen Logaritma Dan Pengertiannya Dosenpintar Com from dosenpintar.com Bentuk pangkat dan soal pembahasannya. Soal eksponen kelas 10 dan pembahasannya. Hitung dan sederhanakan bentuk akar berikut ini: Modul matematika sma kelas 10 bentuk pangkat akar dan logaritma. Contoh soal bentuk akar kumpulan soal pelajaran 3. Hasil dari 4 10 x. Yuk simak pembahasannya di bawah ini. Asep yana komarudinmpd sman 1 kota sukabumi.
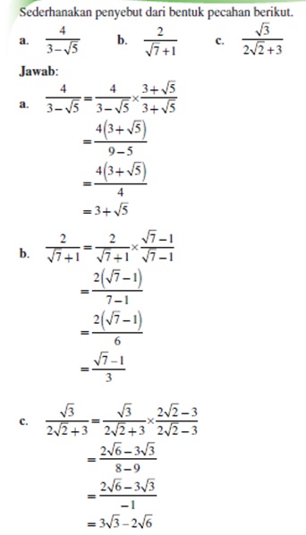
Contoh soal dan pembahasan tentang bentuk akar contoh soal dan pembahasan tentang merasionalkan bentuk akar contoh soal dan pembahasan tentang penjumlahan bentuk akar.
Contoh soal bilangan berpangkat dan bentuk akar kelas 10. Contoh soal bilangan berpangkat kls 10 berikut ini adalah contoh soal bilangan berpangkat kls 10 yang bisa anda download secara gratis di website kami. Kalau belum baca, saya sarankan untuk membaca materi bentuk akar matematika dulu sebelum ke contoh soalnya. 1 日前 contoh soal bilangan berpangkat dan cara penyelesaiannya kelas 10 belajar sifat ketiga dari perpangkatan oleh pitri sundary diposting pada februari 5 2021. Bentuk akar termasuk dalam bilangan irasional yakni bilangan yang tidak dapat dinyatakan dengan pecahan ab a dan b bilangan bulat a dan b 0. Sobat semua harus mulai mempersiapkan diri terutama buat yang duduk di sekolah menengah atas. Yuk simak pembahasannya di bawah ini. Bentuk akar merupakan salah satu contoh bilangan irasional, yaitu bilangan yang tidak dapat dinyatakan ke dalam bentuk Merasionalkan bentuk akar biasanya kita lakukan pada bentuk pecahan, karena aturan aljabar mengharuskan kita tidak menggunakan penyebut pecahan dalam bentuk akar. Contoh soal bilangan berpangkat dan bentuk akar kelas 9 ruang pola barisan dan deret bab ii pola bilangan dapat diartikan sebagai susunan bilangan yang memiliki keteraturan. 10 sma menyederhanakan dan merasionalkan bentuk akar. Contoh soal bentuk akar ruang belajar siswa kelas 6 materi matematika sma kelas x eksponen dan bentuk akar Contoh soal bentuk pangkat kelas 10 beserta.
Berbagi
Posting Komentar
untuk "Contoh Soal Bentuk Akar Kelas 10 - Soal Dan Jawaban Limit Bentuk Akar Kumpulan Contoh Surat Dan Soal Terlengkap / Rangkuman, contoh soal & pembahasan vektor"
Posting Komentar untuk "Contoh Soal Bentuk Akar Kelas 10 - Soal Dan Jawaban Limit Bentuk Akar Kumpulan Contoh Surat Dan Soal Terlengkap / Rangkuman, contoh soal & pembahasan vektor"